1000. 数字自动应答器
描述:
小鹭刚开始学习程序设计,打算试试自己的水平,看计算机会不会听自己的吩咐。她想做的第一件事就是“我做什么,你也做什么”。她会从键盘输入任意两个整数,希望“听话”的计算机能把这两个整数原样输出到屏幕上。
输入:
从键盘输入两个整数。以空格间隔。
输出:
向屏幕输出这两个整数。输出的两个数据之间有空格,最后一个数据输出后有换行。
例子:
1 | 45 75 |
正确输出:
1 | 45 75 |
题解:
1 |
|
1001. 字符自动应答器
描述:
小鹭发现,要让计算机听话似乎也不是很难,于是信心倍增,想再多试几次。现在她从键盘任意输入一个字符,希望在计算机屏幕上输出这个字符。
输入:
输入一个字符。
输出:
输出该字符。
例子:
输入:
1 | W |
正确输出:
1 | W |
题解:
1 | //本题作为样例,给出解答方式,供用户参考 |
1002. 单组数据A+B
描述:
从键盘输入任意两个整数,计算并输出这两个整数的和。(计算结果在int的有效范围内)
输入:
从键盘输入两个整数。
输出:
输出这两个整数的和。
例子:
输入:
1 | 21 33 |
正确输出:
1 | 54 |
提示:
最后一个数据输出后请换行。
题解:
1 |
|
1005. 三数求平均
描述:
期中测试以后,全班同学的语文、数学、体育课程的成绩都已经出来了,小鹭需要帮助班主任计算每位同学这3门课程的平均分,你能帮她编程解决这个问题吗?
输入:
输入某一个学生的三门课程成绩(浮点数)。
输出:
输出这个学生三门课程的平均分,要求保留1位小数。
例子:
输入:
1 | 60.5 70 80 |
正确输出:
1 | 70.2 |
提示:
浮点数据类型建议用double。
scanf(“%lf%lf%lf”,&a,&b,&c); //输入控制符号之间不要加多余的如逗号之类的间隔符
题解:
1 |
|
1006. 计算月收入
描述:
小鹭大学毕业后参加工作了。已知公司员工月收入的计算方法为:月基本工资加当月奖金。输入小鹭某月的基本工资和该月的奖金,计算并输出该月的总收入。
输入:
输入两个数,分别代表某月的基本工资和奖金。
输出:
计算并输出该月的收入,保留2位小数。
例子:
输入:
1 | 6150.2 1200 |
正确输出:
1 | 7350.20 |
提示:
浮点数据建议用double类型。
题解:
1 |
|
1007. 温度转换
描述:
某年夏季,热浪席卷了全球的大部分地方。网上报道美国局部地区的温度达到了100华氏度,我们宁波的温度也达到40摄氏度以上。那么40摄氏度和100华氏度到底哪个更热一些呢?请你帮忙编一个程序来回答这一问题。输入一个华氏温度,求出其对应的摄氏温度。计算公式如下,其中c表示摄氏温度,f表示华氏温度。

输入:
输入一个华氏温度值(浮点数)。
输出:
输出对应的摄氏温度值,保留2位小数。
例子:
输入:
1 | 100 |
正确输出:
1 | 37.78 |
提示:
浮点数据建议用double。控制小数位时请用%.2f之类的格式,而不要使用如%8.2f之类的格式 。
题解:
1 |
|
1008. 圆周长和圆面积
描述:
已知一个圆的半径,计算并输出其圆周长和圆面积。
输入:
输入一个圆半径。(浮点数)
输出:
依次输出圆周长和圆面积,保留两位小数。
例子:
输入:
1 | 41 |
正确输出:
1 | 257.48 5278.34 |
提示:
圆周率使用3.14。浮点数建议用double。
注意:输出的两个数据间以一个空格间隔。
题解:
1 |
|
1009. 圆柱体表面积
描述:
已知一个圆柱体的底面半径r和高h,计算圆柱体的表面积并输出。
输入:
输入圆柱体的底面半径r和高h。
输出:
计算圆柱体的表面积并输出,保留2位小数。
例子:
输入:
1 | 42.1 71.6 |
正确输出:
1 | 30060.92 |
提示:
圆周率使用3.14。浮点数据建议用double。
题解:
1 |
|
1010. 球的体积
描述:
输入球的半径,计算球的体积并输出,保留2位小数。
输入:
输入球的半径。(浮点数)
输出:
输出球的体积,保留2位小数。
例子:
输入:
1 | 96.2 |
正确输出:
1 | 3727293.58 |
提示:
浮点数建议用double。圆周率使用3.14。
题解:
1 |
|
1011. 卫生包干区的面积
提交数 22861通过数13002
时间限制:1000 MS
内存限制:32768KB
题目描述
历史提交
统计数据
描述:
为了培养大家热爱劳动的习惯,学校将校园的角角落落划分成若干卫生包干区,分给各个班级。小鹭所在班级也分到了一块,作为班长,小鹭需要知道这块区域到底有多少大,以便安排多少同学去打扫,你能帮她计算一下这块包干区的大小吗?已知包干区的形状是一个任意三角形,并且已经把各条边的边长测量好了,假设3条边的边长为a,b,c,请求出这块包干区的面积并输出。
可利用海伦公式求解任意三角形面积:


输入:
输入三条边的边长。(假设3条边长肯定可以构成三角形)
输出:
计算并输出该三角形面积。保留2位小数。
例子:
输入:
1 | 3.1 4.2 5.3 |
正确输出:
1 | 6.51 |
提示:
浮点数据建议用double
题解:
1 |
|
1013. 平面上两点的距离
描述:
已知平面上任意两点的坐标(x1,y1)和(x2,y2),求这两点之间的距离。
输入:
依次输入四个数据x1、y1和x2、y2,分别表示平面上两点的坐标。其中(x1,y1)表示第一个点的坐标,(x2,y2)表示第二个点的坐标。输入为浮点数。
输出:
输出这两点间的距离。保留2位小数。
例子:
输入:
1 | 3.1 4.2 5.0 6.0 |
正确输出:
1 | 2.62 |
提示:
浮点数据建议用double
题解:
1 |
|
1015. 两数交换输出顺序
描述:
从键盘依次输入两个整数,要求完成以下操作:
1、首先原样输出这两个数;
2、交换这两个数的顺序后再输出一遍。
输入:
从键盘输入两个整数。
输出:
1、首先原样输出这两个数;
2、交换这两个数的顺序后再输出一遍。
例子:
输入:
1 | 12 23 |
正确输出:
1 | 12 23 |
提示:
两个数据之间以一个空格间隔,同一行最后一个数据输出后要换行。
题解:
1 |
|
1016. 两浮点数相除
描述:
输入两个浮点数x和y,计算x除以y的值。
输入:
输入两个浮点数x和y。
输出:
输出运算结果,保留两位小数。
例子:
输入:
1 | 2 3 |
正确输出:
1 | 0.67 |
题解:
1 |
|
1017. 商和余数
描述:
输入两个整数x和y,计算x除以y的商和余数。
输入:
输入两个整数x和y。
输出:
输出商和余数。
例子:
输入:
1 | 65 14 |
正确输出:
1 | 4 9 |
提示:
保证除数不为0
题解:
1 |
|
1018. 植树问题
描述:
学校植树节开展植树活动,已知小鹭所在的班级分到树苗m株,班里参加植树的同学有n人(m>n),请问每位同学平均可以植树几株?还有几株剩余?
输入:
输入两个整数m和n,分别表示树苗的数量和学生的人数(m>n)。
输出:
输出每位同学平均植树的数量及剩余的树苗数量。
例子:
输入:
1 | 163 32 |
正确输出:
1 | 5 3 |
题解:
1 |
|
1019. 美元和人民币
描述:
随着国际形势的变化,美元与人民币的兑换率也经常在变化。假设美元与人民币的汇率是1美元兑换6.5573元人民币,编写程序输入美元金额,输出能兑换的人民币金额。
输入:
输入美元金额(浮点数)。
输出:
输出能兑换的人民币的数值。输出保留2位小数。
例子:
输入:
1 | 100 |
正确输出:
1 | 655.73 |
提示:
建议用double
题解:
1 |
|
1020. 字符的ASCII码值
描述:
从键盘输入一个字符,输出其对应的十进制表示的ASCII码值。
输入:
输入一个字符(保证在有效范围内)。
输出:
输出字符对应的十进制表示的ASCII码值。
例子:
输入:
1 | A |
正确输出:
1 | 65 |
题解:
1 |
|
1021. 成绩预算(1)
描述:
小鹭学习很认真,她本学期选修了一门课程,该课程的期末总评成绩由三部分组成,即总评成绩=平时成绩×20%+实验成绩×30%+期末笔试×50%。临近期末,小鹭已经知道了自己的平时成绩和实验成绩,如果她希望总评成绩能达到90分(含)以上,你能帮她估算一下期末笔试至少需要考多少分吗?
输入:
输入两个浮点数分别代表平时成绩和实验成绩(每个数据在0~100分之间)
输出:
输出一个数据表示估算的期末笔试需要考到的最低分数。保留1位小数。
例子:
输入:
1 | 91 88.5 |
正确输出:
1 | 90.5 |
输入:
1 | 80 80 |
正确输出:
1 | 100.0 |
题解:
1 |
|
1022. 简单加密
描述:
信息时代最怕的就是个人信息泄密。你现在已经掌握了一些编程技能,来尝试对信息进行简单的加密吧!给定任意两个字符,要求对它们进行加密。加密规则是:用原字符后的第3个字符来代替。如需要将信息“Hi”加密,H后面第3个字符是K,i后面第3个字符是l,因此“Hi”加密后为“Kl”。
输入:
从键盘输入任意两个字符。输入时两个字符间没有空格。保证输入的字符范围为aw或AW
输出:
按上述规则进行加密后输出。输出时两个字符间没有空格,输出完毕后换行。
例子:
输入:
1 | Hi |
正确输出:
1 | Kl |
题解:
1 |
|
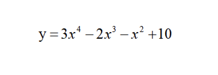
1024. 多项式求值(1)
描述:
已知x,求以下多项式的值:

输入:
输入浮点数x。
输出:
计算并输出y的值,保留1位小数。
例子:
输入:
1 | 1 |
正确输出:
1 | 11.0 |
题解:
1 |
|
1025. 多项式求值(2)
描述:
已知x,计算以下多项式的值:


输入:
输入浮点数x。
输出:
计算并输出多项式的结果,保留1位小数。
例子:
输入:
1 | 1 |
正确输出:
1 | 10.0 |
提示:
建议用double
题解:
1 |
|
1026. 居民电费
描述:
某地居民用电是这样计算的,正常使用部分每度0.538元,阶梯部分每度0.03元。某用户家9月份正常部分用电量为x度,阶梯部分y度,请编程计算该用户9月份应该缴纳的电费。
输入:
输入x和y的值(浮点数)。
输出:
输出应缴纳的电费,保留2位小数。
例子:
输入:
1 | 10 10 |
正确输出:
1 | 5.68 |
提示:
建议所有数据类型都用double
题解:
1 |
|
1029. 三位数的数位分离
描述:
从键盘输入一个任意的3位正整数,分别求出其个位、十位和百位上的数字。
输入:
输入任意的一个三位正整数。
输出:
依次输出个位、十位、百位上的数字。
例子:
输入:
1 | 367 |
正确输出:
1 | 7 6 3 |
提示:
输出的数字以空格间隔,但最后一个数据的后面没有空格,直接换行。
题解:
1 |
|